• Products

    Dynamic Speakers

    BMR Speakers

    Dynamic Receivers

    Balanced Armature Receivers

    Buzzers

    Audio Exciters

    Boom Microphones & Sensors

    ECM Microphones

    MEMS Microphones

    Specialty Microphones

    IA Microphones

    Accelerometers

    Voice Vibration Sensors

    Acoustic Dampers

    Wax Protection

    Telecoils

    Programming Accessories

    Speaker Modules

    Microphone Modules

    RIC Modules

    ProxFusion Multi-Sensors

    ProxFusion Evaluation Kits

    ProxSense Capacitive Sensors

    ProxSense Modules

    ProxSense Evaluation Kits

    Neural Decision Processors

    DSP for Hearing Aids

    DSP for Hearing Aids Evaluation Kit

    Bluetooth Modules

    Bluetooth Modules Evaluation Kit

  • Acoustic Design Service

    Speaker Solutions

    Microphone Solutions

    Over the ear & In-ear Solutions

    Measurement Capabilities

    Electroacoustic Simulations

  • Engineering & Manufacturing

    Speaker Turnkey Solutions

    Microphone Turnkey Solutions

    Industrial Tools

  • Tools
    • Speaker SPL Calculator
    • Analog Mic SPL Calculator
  • Partners
  • About us
  • News
    • Acoustic Reviews
    • Events
    • Webinars
Contact Us
  • Products

    Dynamic Speakers

    BMR Speakers

    Dynamic Receivers

    Balanced Armature Receivers

    Buzzers

    Audio Exciters

    Boom Microphones & Sensors

    ECM Microphones

    MEMS Microphones

    Specialty Microphones

    IA Microphones

    Accelerometers

    Voice Vibration Sensors

    Acoustic Dampers

    Wax Protection

    Telecoils

    Programming Accessories

    Speaker Modules

    Microphone Modules

    RIC Modules

    ProxFusion Multi-Sensors

    ProxFusion Evaluation Kits

    ProxSense Capacitive Sensors

    ProxSense Modules

    ProxSense Evaluation Kits

    Neural Decision Processors

    DSP for Hearing Aids

    DSP for Hearing Aids Evaluation Kit

    Bluetooth Modules

    Bluetooth Modules Evaluation Kit

  • Acoustic Design Service

    Speaker Solutions

    Microphone Solutions

    Over the ear & In-ear Solutions

    Measurement Capabilities

    Electroacoustic Simulations

  • Engineering & Manufacturing

    Speaker Turnkey Solutions

    Microphone Turnkey Solutions

    Industrial Tools

  • Tools
    • Speaker SPL Calculator
    • Analog Mic SPL Calculator
  • Partners
  • About us
  • News
    • Acoustic Reviews
    • Events
    • Webinars
Contact Us
  • Products
  • Acoustic Design Service
  • Engineering & Manufacturing
  • Tools
    • Speaker SPL Calculator
    • Analog Mic SPL Calculator
  • Partners
  • About us
  • News
    • Acoustic Reviews
    • Events
    • Webinars
  • Products
  • Acoustic Design Service
  • Engineering & Manufacturing
  • Tools
    • Speaker SPL Calculator
    • Analog Mic SPL Calculator
  • Partners
  • About us
  • News
    • Acoustic Reviews
    • Events
    • Webinars
Contact Us

Search for specific product:

Categories:

  • Acoustic Components
  • Capacitive, Multifunctional Sensors
  • Processors
  • Wireless Systems

Latest News:

How to estimate SPL from a microphone output ?

14/10/2025

When developing audio devices involving microphones, knowing the actual Sound Pressure Level (SPL) hitting your sensor is crucial. It…

Read More »
« Previous Next »
Home / Acoustic Review / How to estimate SPL from a microphone output ?

How to estimate SPL from a microphone output ?

When developing audio devices involving microphones, knowing the actual Sound Pressure Level (SPL) hitting your sensor is crucial. It helps you validate performance against acoustic standards, adjust signal levels, optimize dynamic range, and prevent clipping.
Most analog microphones specify their sensitivity in dBV re. 1V/Pa, which indicates how much voltage the microphone outputs for a sound pressure of 1 Pascal. This value is key to estimating the SPL from any measured output voltage.

Let’s break it down into two simple steps:

  • Step 1: Convert Sensitivity to Volts per Pascal

The sensitivity in dBV can be converted to a linear scale (V/Pa) using: 

For example, a microphone with a sensitivity of –40 dBV/Pa corresponds to:

This means the microphone outputs 10 mV for every 1 Pascal of sound pressure received.

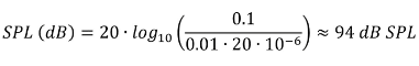
  • Step 2: Estimate SPL from Measured Voltage

Once you know the sensitivity in V/Pa, you can estimate the SPL using the reference sound pressure 𝑃𝑟𝑒𝑓=20∙10−6 𝑃𝑎.

Let’s say you measure an output voltage of 0.1 V:

This value corresponds to a typical calibration tone used in audio testing.

This method is a practical tool for engineers involved in microphone front-end design, signal conditioning and gain staging, embedded audio systems, as well as acoustic calibration and validation.

At SELTECH, we specialize in supporting customers throughout the design process—from selecting the right microphone to implementing signal processing and acoustic calibration. Whether you’re working with analog or digital microphones, we help you navigate key calculations like SPL estimation, sensitivity matching, and system optimization.
Our expertise in acoustics and embedded audio ensures your product meets performance expectations and delivers great user experience.
Feel free to reach out if you’re working on a design and want to discuss microphone integration or acoustic tuning!

Discover more about our acoustic department

Review by:

– Frédéric Fallais, Acoustic Application Engineer

– Arthur Di Ruzza, Acoustic Technician

PrevPreviousSeltech New Capabilities in Sound Design!

Search for specific product:

Categories:

  • Acoustic Components
  • Capacitive, Multifunctional Sensors
  • Processors
  • Wireless Systems

Latest News:

How to estimate SPL from a microphone output ?

14/10/2025

When developing audio devices involving microphones, knowing the actual Sound Pressure Level (SPL) hitting your sensor is crucial. It…

Read More »
« Previous Next »

Headquarters
SAS SELTECH
2, Allée des Cerisiers
F – 94042 Créteil FRANCE
Tel EU : +33 1 48 92 90 02
Tel NA : +1 (919) 481 6896
Tel CN: +86 25 83 45 54 33

Products

  • Acoustic Components
  • Capacitive, Multifunctional Sensors
  • Processors
  • Wireless Systems
  • Acoustic Components
  • Capacitive, Multifunctional Sensors
  • Processors
  • Wireless Systems

Services

  • Acoustic Design Service
  • Engineering & Manufacturing
  • Carbon Footprint
  • SPL Calculator
  • Career
  • Acoustic Design Service
  • Engineering & Manufacturing
  • Carbon Footprint
  • SPL Calculator
  • Career

Legal

  • Terms & Conditions EU
  • Terms & Conditions US
  • Corporate Social Responsibility
  • Legal Notices
  • Terms & Conditions EU
  • Terms & Conditions US
  • Corporate Social Responsibility
  • Legal Notices

© Copyright 2025 SELTECH, All Right Reserved.